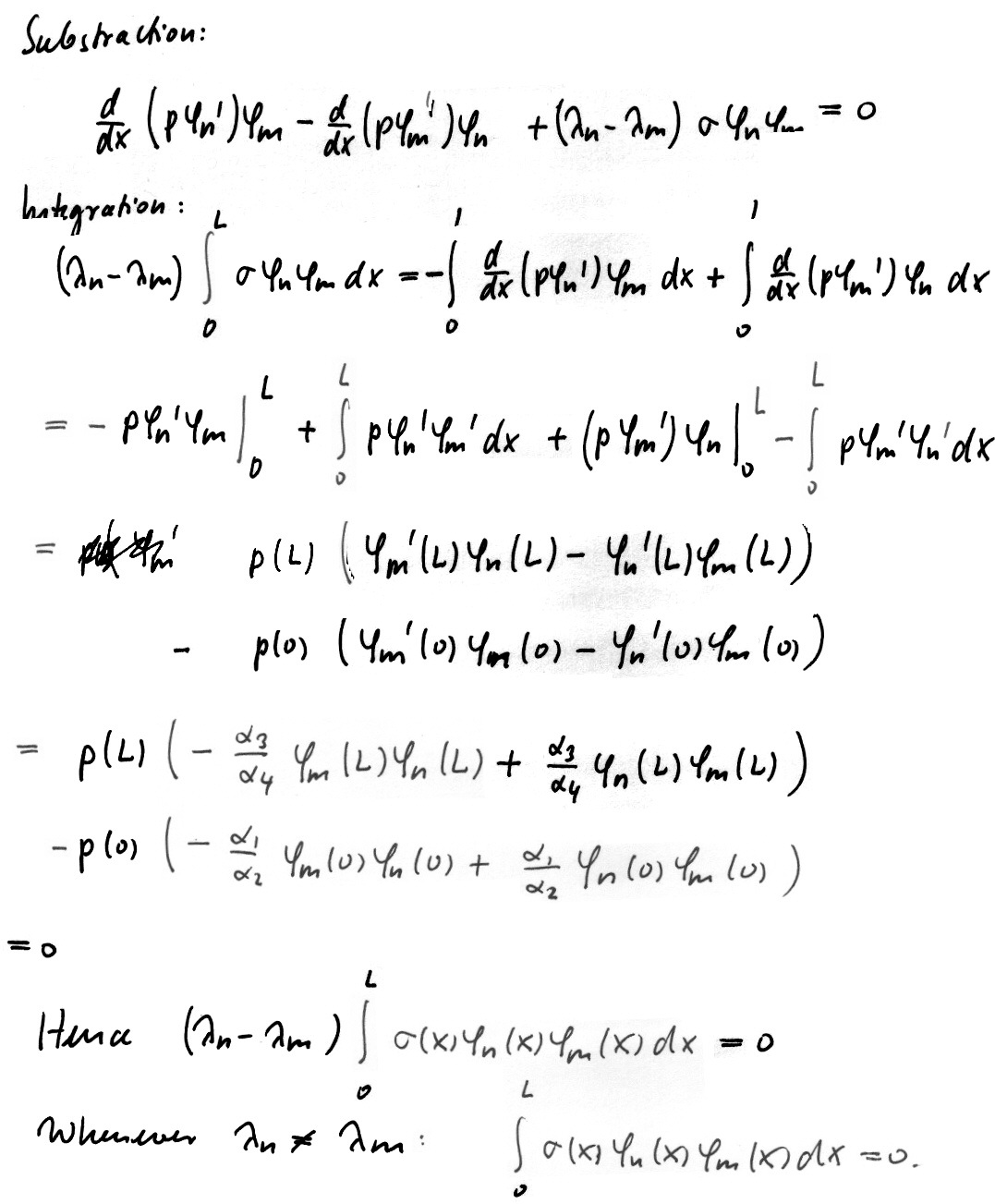
(8.1) (8.2) Regular Sturm-Liouville eigenvalue problems

(