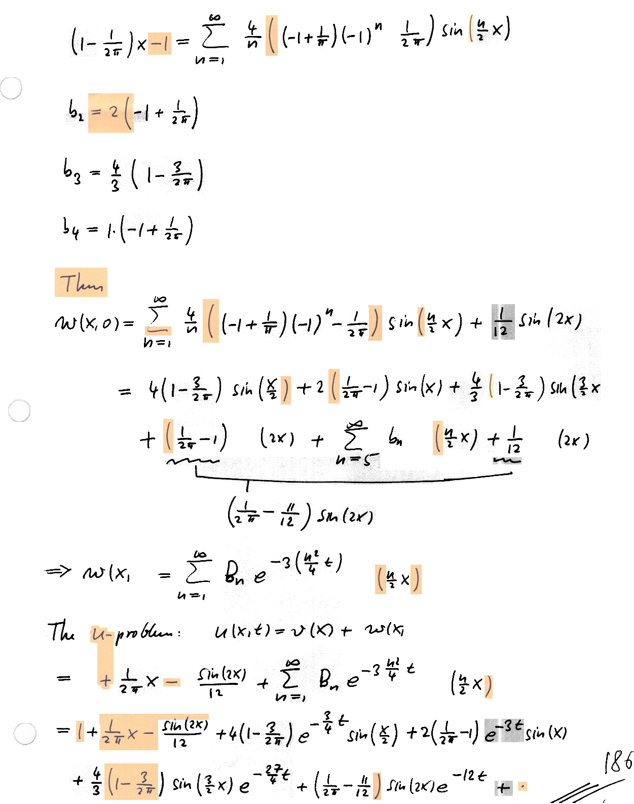
(7.4) Nonhomogeneous equations and nonhomogeneous boundary conditions

(