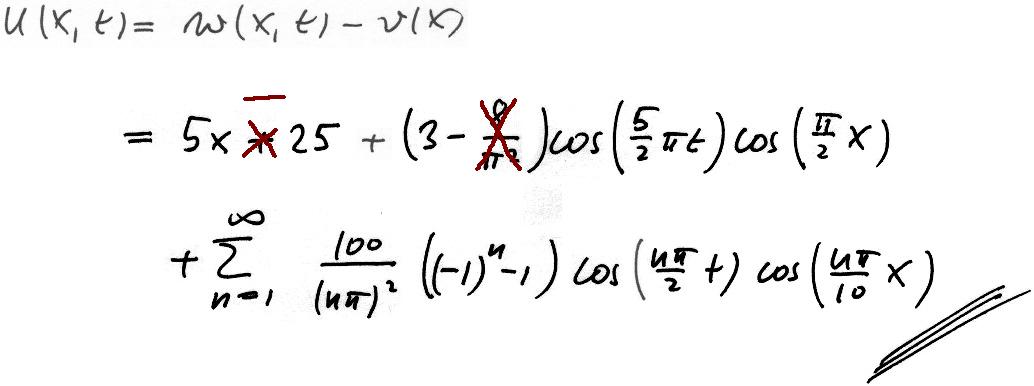
(7.3) Nonhomogeneous boundary conditions

(