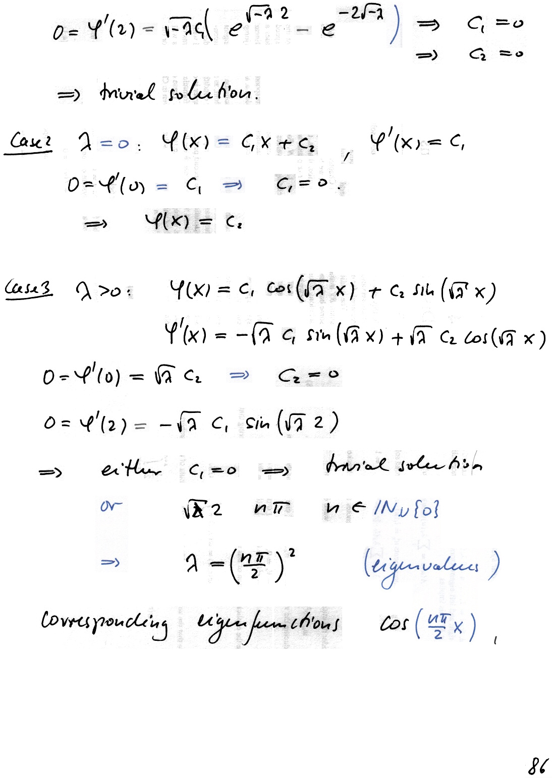
(5.3) Separation of variables for the heat equation: Examples