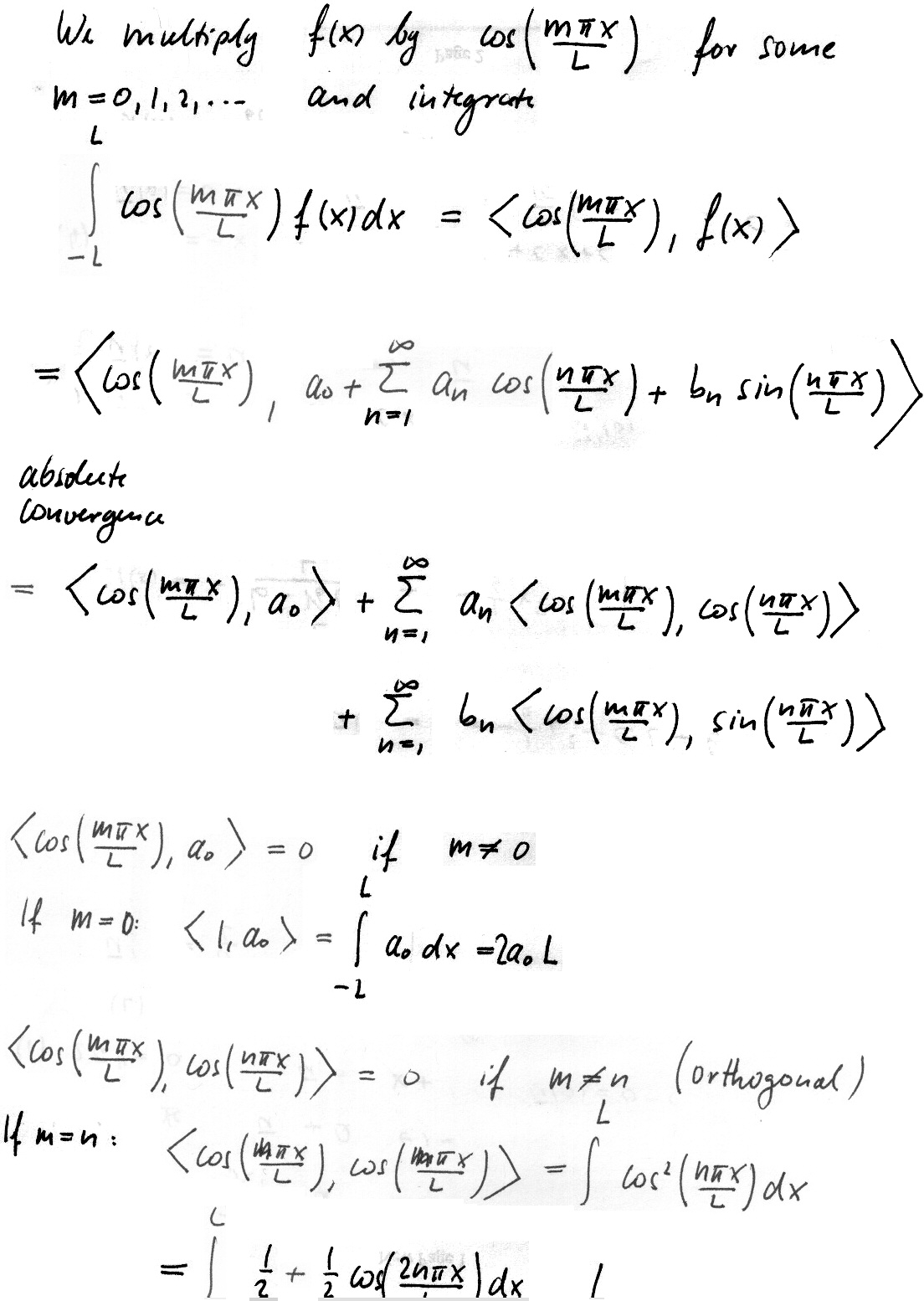
(4.3.2) Trigonometric Fourier series