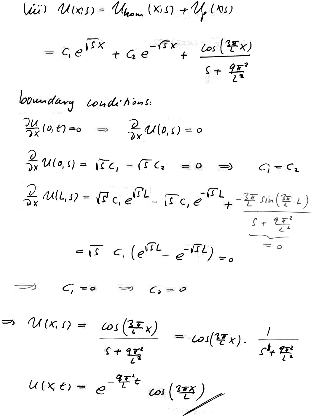
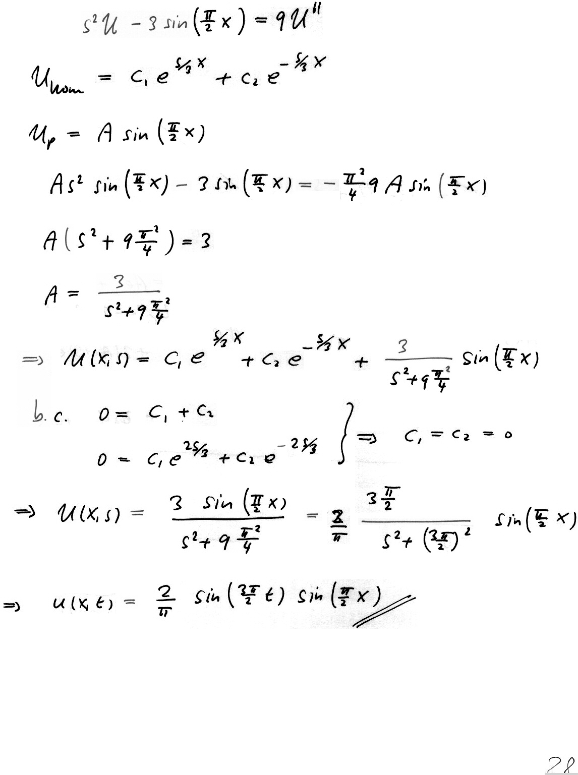
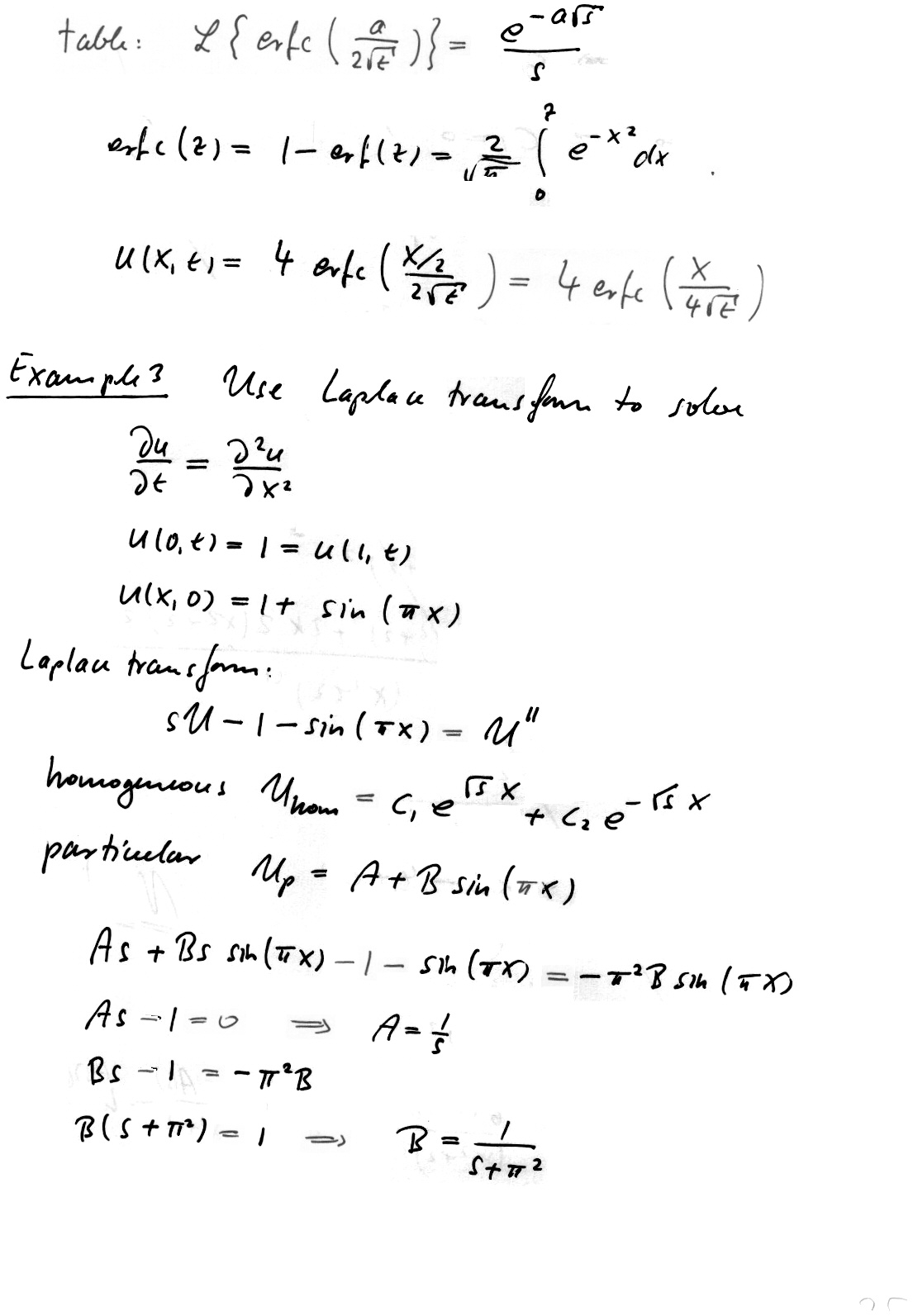
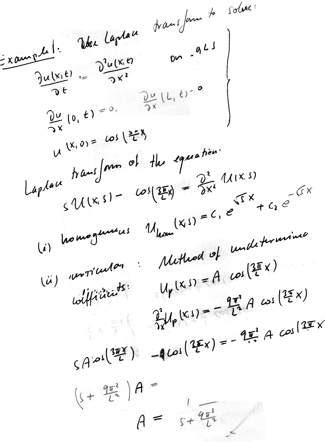
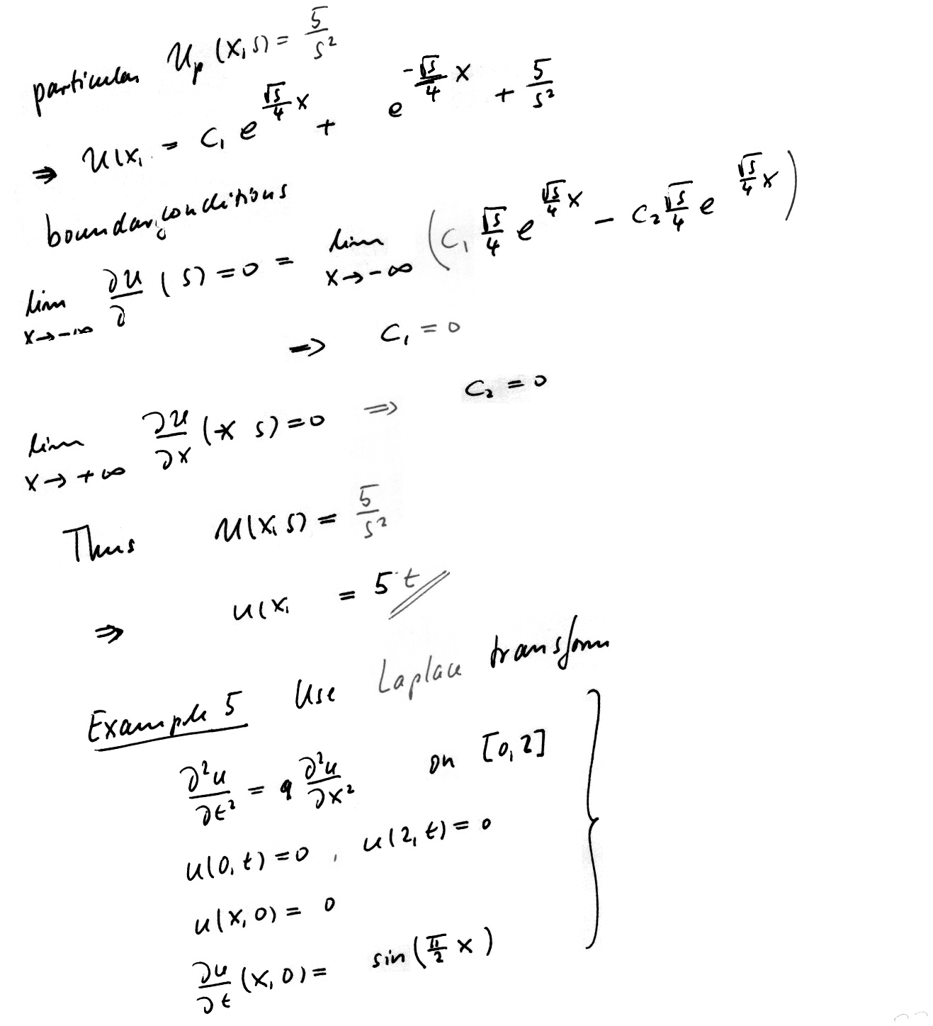
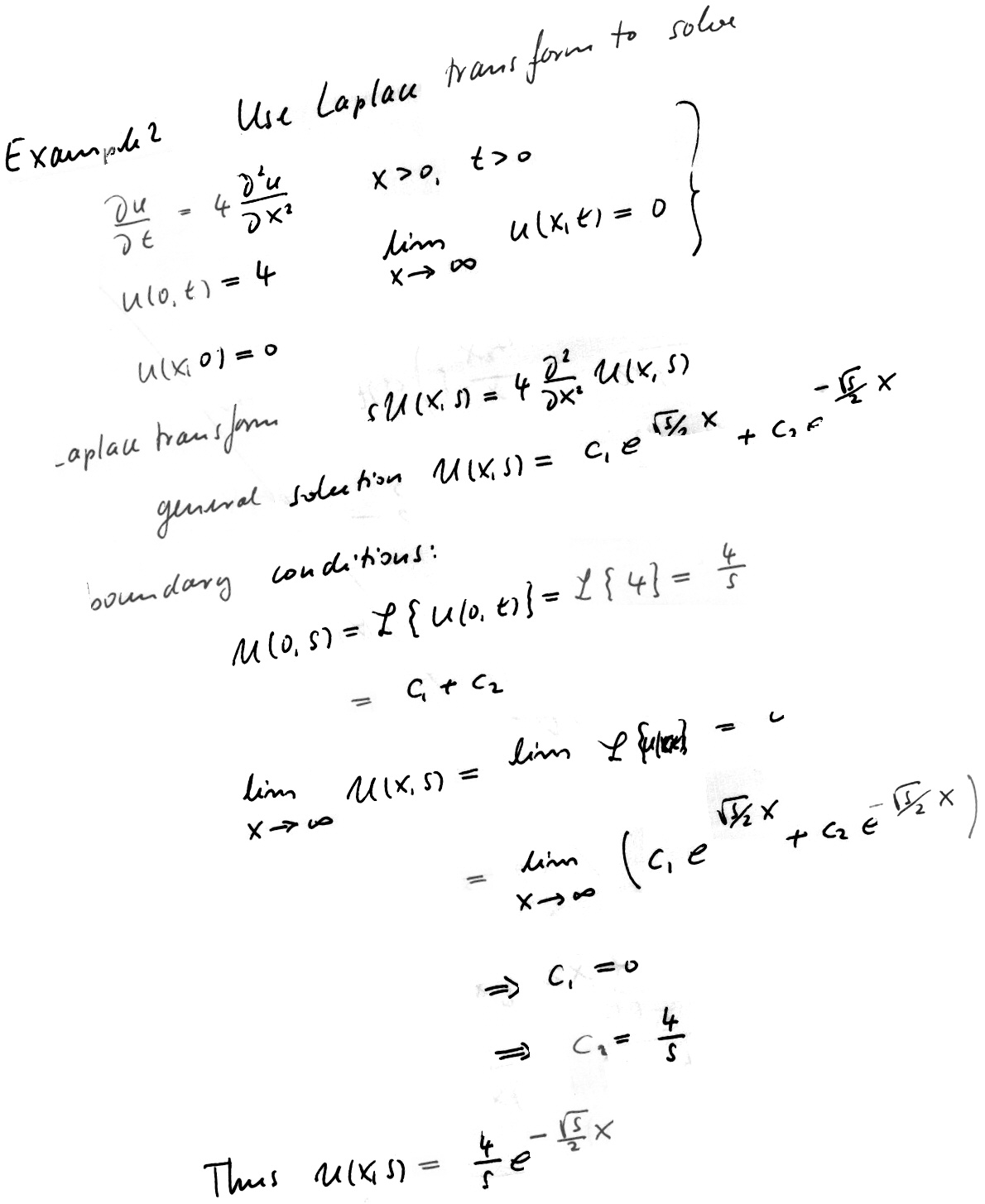
(11.3) Laplace transform