(11.1) Fourier Transform

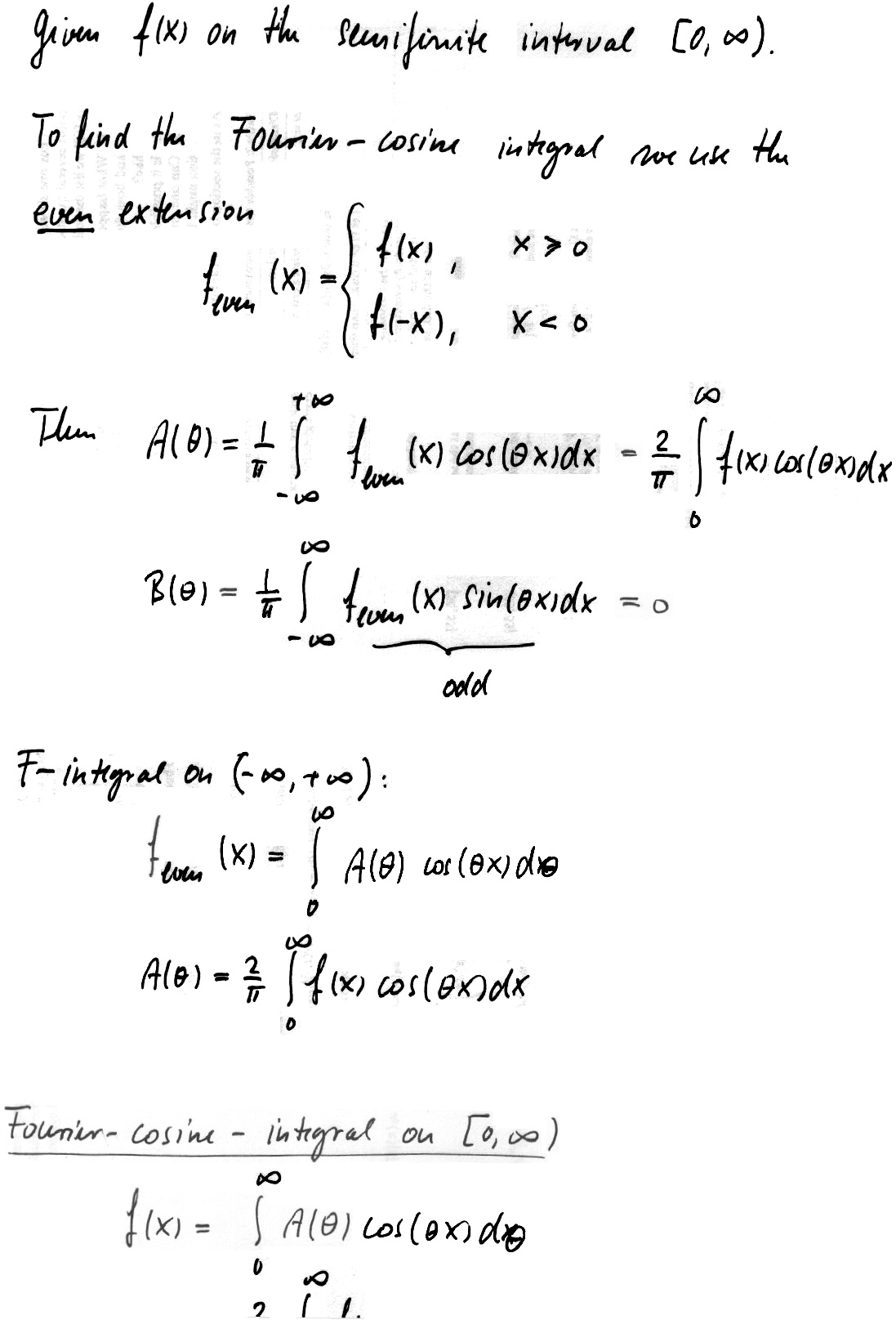
(11.2) The Fourier Integral