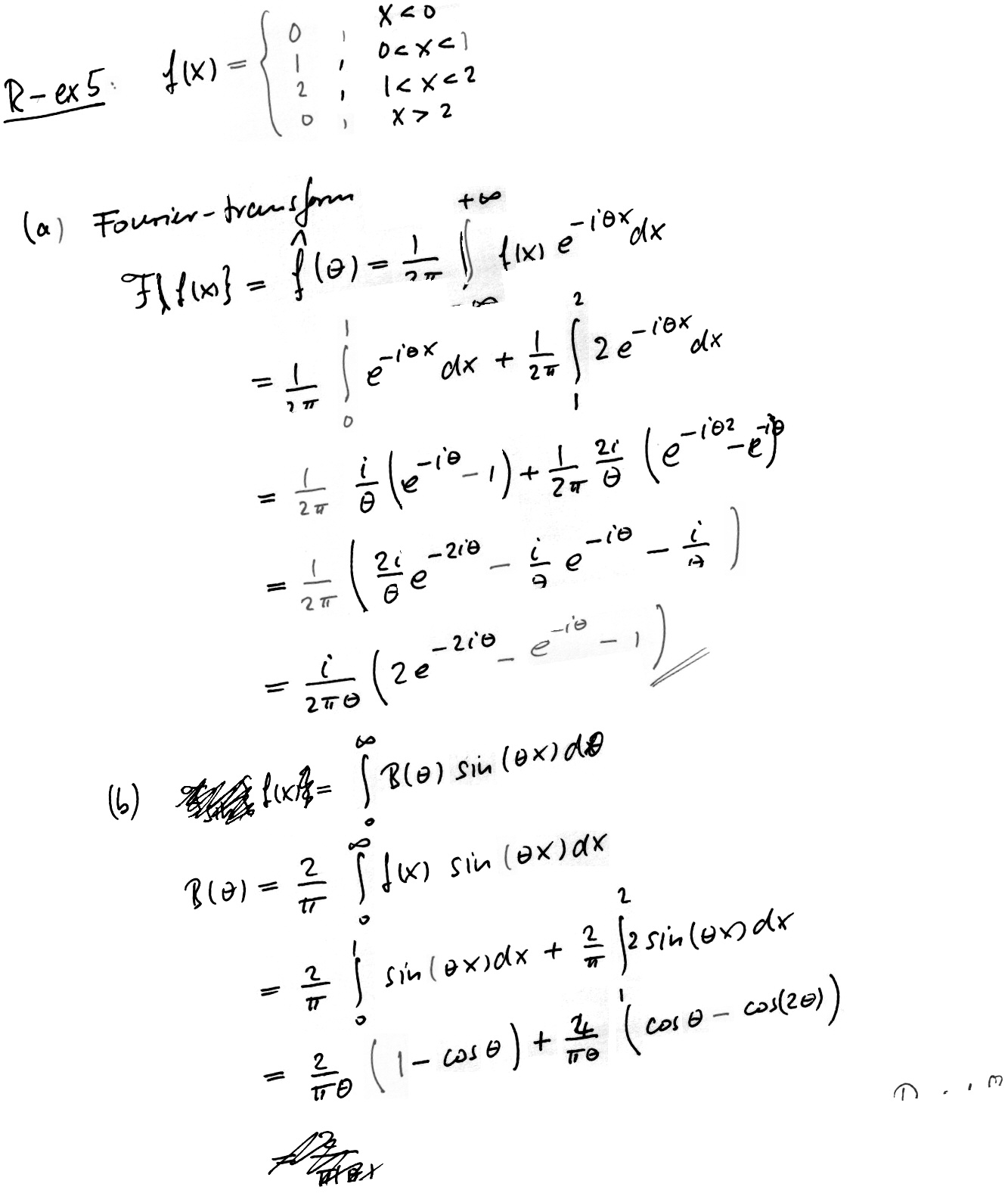
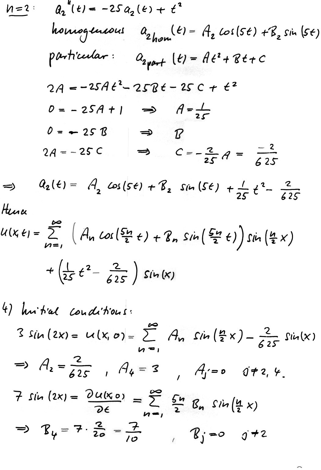
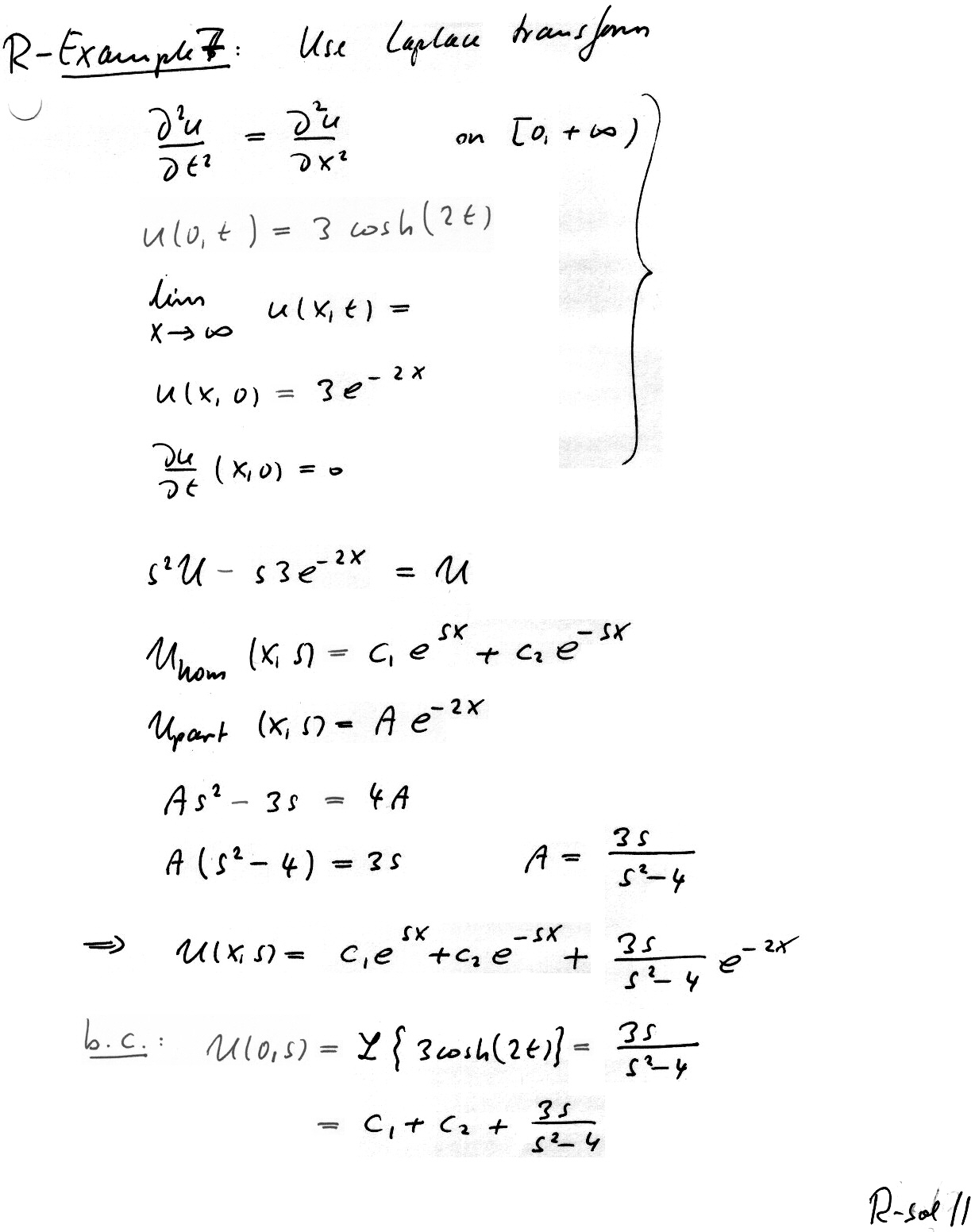
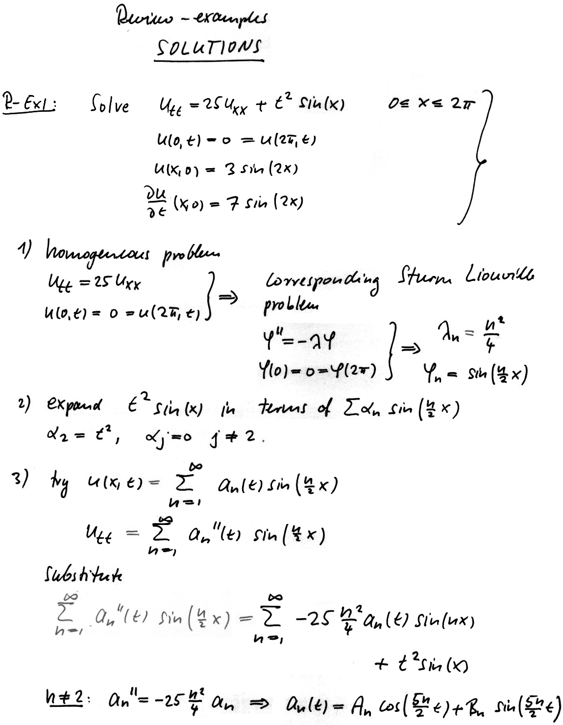
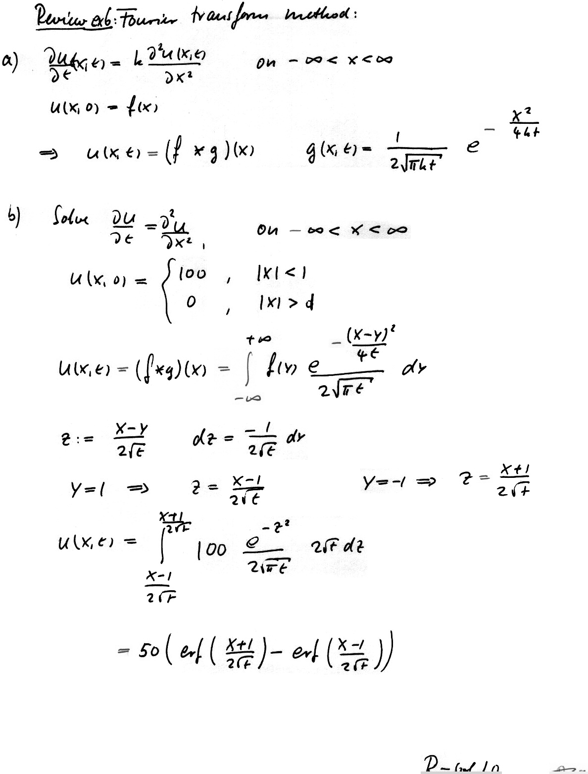
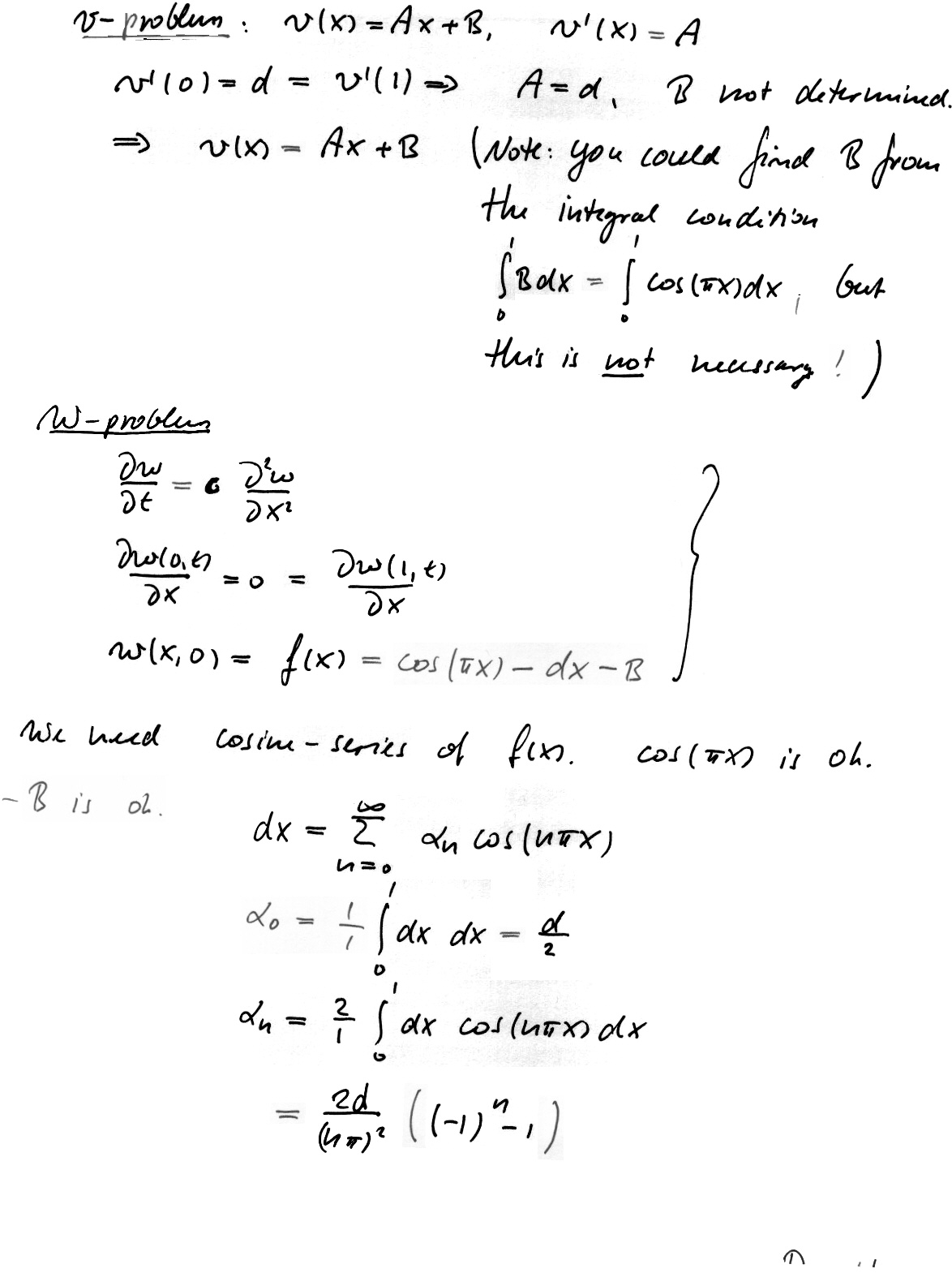
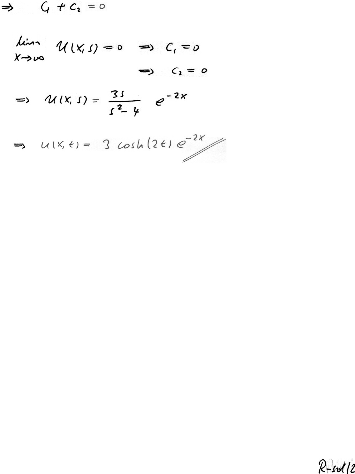
Review-Solutions