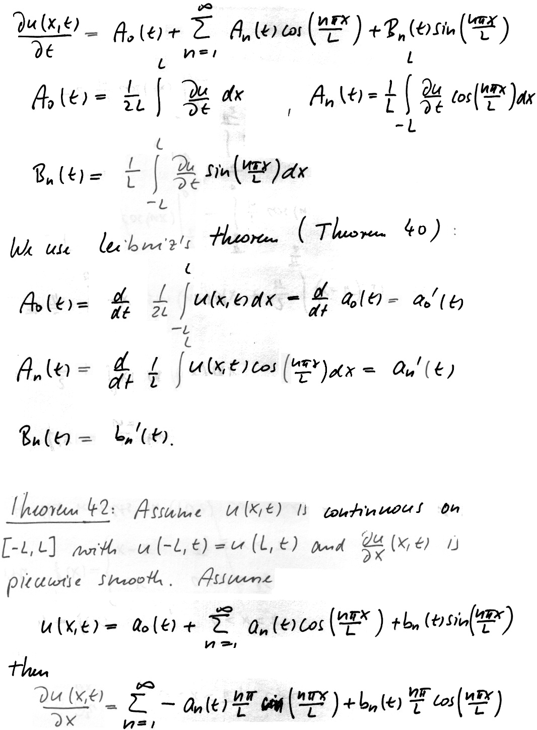
6 Calulus of Fourier series