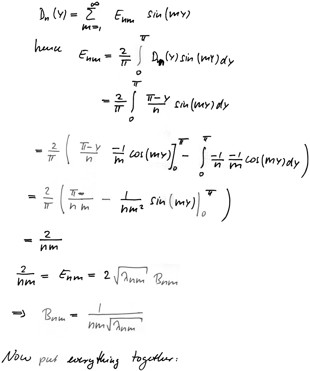
(5.5) Multidimensional problems