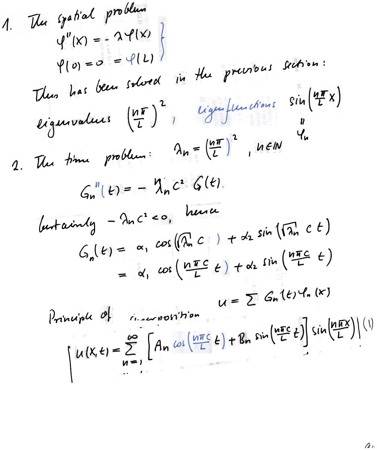
(5.4) Separation of variables for the wave equation