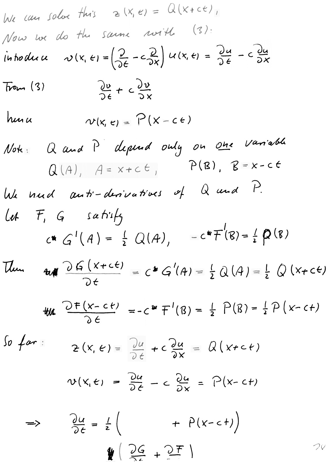
(3.6) D'Alembert's solution