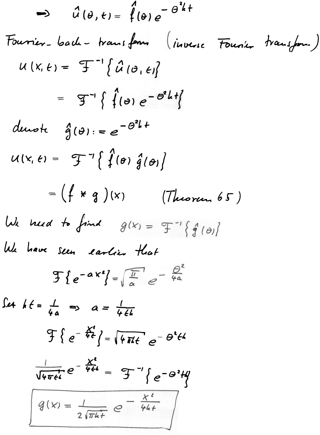
(11.5) Fourier Transform solution methods of PDE's